Transum Software

Differentiation

Practise the technique of differentiating polynomials and other functions with this self marking exercise.

  Menu   Level 1 L 2 L 3 L 4 L 5 L 6 L 7 L 8 L 9 L 10 L 11   Exam     Help  

This is level 1: differentiate basic polynomials. You can earn a trophy if you get at least 9 questions correct and you do this activity online. Use the ^ key to type in a power or index and use the forward slash / to type a fraction. Press the right arrow key to end the power or fraction. Click the Help tab above for more.

$$y=x^{4}$$

\(\frac{dy}{dx}=\) Correct Wrong

$$y=x^{3}$$

\(\frac{dy}{dx}=\) Correct Wrong

$$y=x^{2}$$

\(\frac{dy}{dx}=\) Correct Wrong

$$y=x$$

\(\frac{dy}{dx}=\) Correct Wrong

$$y=x^{3}+x^{2}$$

\(\frac{dy}{dx}=\) Correct Wrong

$$y=x^{4}-x^{3}$$

\(\frac{dy}{dx}=\) Correct Wrong

$$y=x^{3}+4$$

\(\frac{dy}{dx}=\) Correct Wrong

$$y=8x^{2}$$

\(\frac{dy}{dx}=\) Correct Wrong

$$y=3x$$

\(\frac{dy}{dx}=\) Correct Wrong

$$y=9$$

\(\frac{dy}{dx}=\) Correct Wrong

$$y=3x^{4}+6x^{3}+5$$

\(\frac{dy}{dx}=\) Correct Wrong

$$y=5x^{2}-5x-7$$

\(\frac{dy}{dx}=\) Correct Wrong

Check

This is Differentiation level 1. You can also try:
Level 2 Level 3 Level 4 Level 5 Level 6 Level 7 Level 8 Level 9 Level 10 Level 11 Integration

Instructions

Try your best to answer the questions above. Type your answers into the boxes provided leaving no spaces. As you work through the exercise regularly click the "check" button. If you have any wrong answers, do your best to do corrections but if there is anything you don't understand, please ask your teacher for help.

When you have got all of the questions correct you may want to print out this page and paste it into your exercise book. If you keep your work in an ePortfolio you could take a screen shot of your answers and paste that into your Maths file.

Why am I learning this?

Mathematicians are not the people who find Maths easy; they are the people who enjoy how mystifying, puzzling and hard it is. Are you a mathematician?

Comment recorded on the 24 May 'Starter of the Day' page by Ruth Seward, Hagley Park Sports College:

"Find the starters wonderful; students enjoy them and often want to use the idea generated by the starter in other parts of the lesson. Keep up the good work"

Comment recorded on the 17 June 'Starter of the Day' page by Mr Hall, Light Hall School, Solihull:

"Dear Transum,

I love you website I use it every maths lesson I have with every year group! I don't know were I would turn to with out you!"

Whose Idea Was This?

Did you enjoy doing this 'Differentiation' activity? Are you curious about who originally came up with this idea in Maths? Discover more about one of the mathematicians who is associated with this concept.

Featured Activity

Hi-Low Predict

Hi-Low Predict

A version of the Play Your Cards Right TV programme. Calculate the probabilities of cards being higher or lower than the one shown. a fun way to practise applying probability and using fractions.

Answers

There are answers to this exercise but they are available in this space to teachers, tutors and parents who have logged in to their Transum subscription on this computer.

A Transum subscription unlocks the answers to the online exercises, quizzes and puzzles. It also provides the teacher with access to quality external links on each of the Transum Topic pages and the facility to add to the collection themselves.

Subscribers can manage class lists, lesson plans and assessment data in the Class Admin application and have access to reports of the Transum Trophies earned by class members.

If you would like to enjoy ad-free access to the thousands of Transum resources, receive our monthly newsletter, unlock the printable worksheets and see our Maths Lesson Finishers then sign up for a subscription now:

Subscribe

Go Maths

Learning and understanding Mathematics, at every level, requires learner engagement. Mathematics is not a spectator sport. Sometimes traditional teaching fails to actively involve students. One way to address the problem is through the use of interactive activities and this web site provides many of those. The Go Maths page is an alphabetical list of free activities designed for students in Secondary/High school.

Maths Map

Are you looking for something specific? An exercise to supplement the topic you are studying at school at the moment perhaps. Navigate using our Maths Map to find exercises, puzzles and Maths lesson starters grouped by topic.

Teachers

If you found this activity useful don't forget to record it in your scheme of work or learning management system. The short URL, ready to be copied and pasted, is as follows:

Alternatively, if you use Google Classroom, all you have to do is click on the green icon below in order to add this activity to one of your classes.

It may be worth remembering that if Transum.org should go offline for whatever reason, there is a mirror site at Transum.info that contains most of the resources that are available here on Transum.org.

When planning to use technology in your lesson always have a plan B!

Richard, Pennsylvania

Sunday, October 9, 2022

"Level 7:
y= sqrt(5x^2 -8x)
The answer is (5x-4)/sqrt(5x^2-8x) but for some reason it is marked as wrong. I want to confirm that this isn't an error or anything. Thanks!

[Transum: Thanks for your feedback Richard. You are right. The software stores a number of different versions of the correct answer and the format you chose was missing. I have now corrected this error. Sorry for the inconvenience and thanks again for taking the time to let me know.]"

Mandy Fox,

Saturday, July 1, 2023

"Hi John, Please could we have a button to get from the Differentiation page to the Integration page. Many thanks! Mandy.

[Transum: Hi Mandy, thanks for the suggestion. there is now a button linking directly to the Integration exercise - there is also a link in the Menu tab.]"

Do you have any comments? It is always useful to receive feedback and helps make this free resource even more useful for those learning Mathematics anywhere in the world. Click here to enter your comments.

Transum.org is a proud supporter of the kidSAFE Seal Program

© Transum Mathematics :: This activity can be found online at:
www.Transum.org/go/?Num=55

Description of Levels

Close

Close

Before beginning these exercises make sure you understand Indices really well.

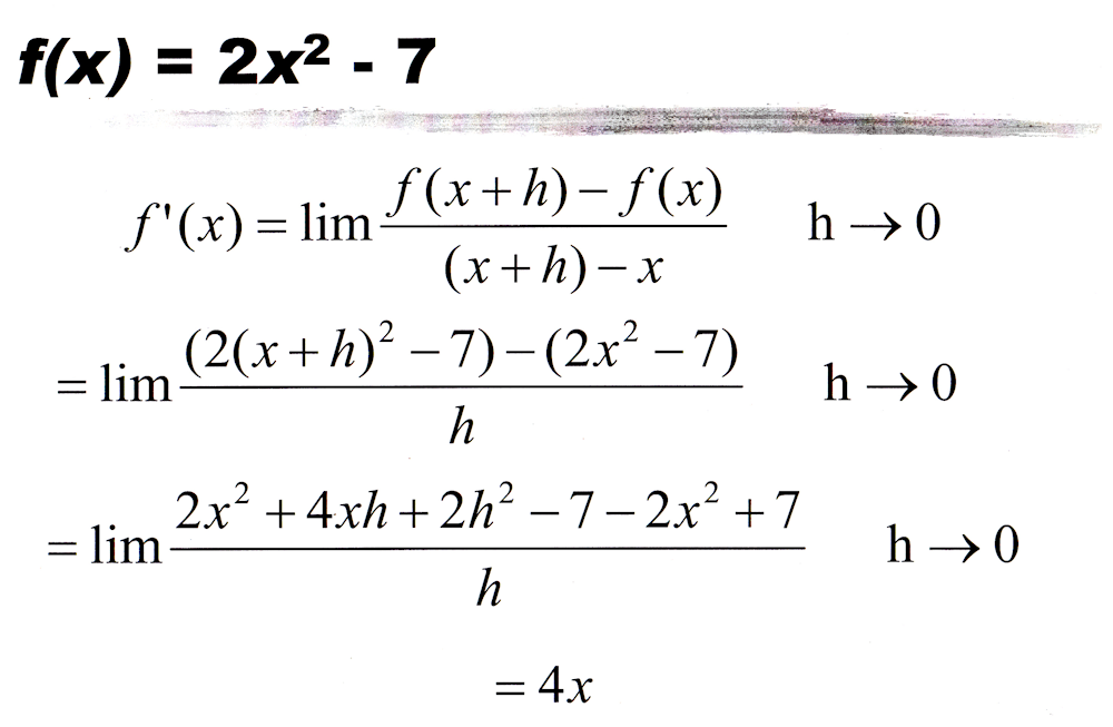
You should also have been shown how to differentiate from first principles.

Level 1 - Differentiate basic polynomials

Level 2 - Differentiate polynomials including negative and fractional indices

Level 3 - Calculations involving the gradient at the given point

Level 4 - Finding tangents and normals

Level 5 - Differentiate trigonometric functions

Level 6 - Differentiate exponential and natural logarithm functions

Level 7 - Differentiate using the chain rule

Level 8 - Differentiate using the product rule

Level 9 - Differentiate using the quotient rule

Level 10 - Interpreting derivatives and second derivatives, maxima, minima and points of inflection.

Level 11 - Differentiate simple functions parametrically

Exam Style questions are in the style of IB or A-level exam paper questions and worked solutions are available for Transum subscribers.

Integration - Exercises on indefinite and definite integration of basic algebraic and trigonometric functions.

Answers to this exercise are available lower down this page when you are logged in to your Transum account. If you don’t yet have a Transum subscription one can be very quickly set up if you are a teacher, tutor or parent.

Log in Sign up

Example

Mathematical Notation

Use the ^ key to type in a power or index then the right arrow or tab key to end the power.

For example: Type 3x^2 to get 3x2.

Use the forward slash / to type a fraction then the right arrow or tab key to end the fraction.

For example: Type 1/2 to get ½.

Fractions should be given in their lowest terms.

A square root sign (if required) should be typed in as \sqrt space then press the right arrow key after typing in the last term in the square root.

Typing Mathematical Notation

These exercises use MathQuill, a web formula editor designed to make typing Maths easy and beautiful. Watch the animation below to see how common mathematical notation can be created using your keyboard.

MathQuill Animation

Terminology and symbols

Please note that if \(y = f(x) = x^2\) then the first differential can be shown in any of the following ways:

$$\frac{dy}{dx} = 2x$$ $$y' = 2x$$ $$f'(x) = 2x$$

Differentiating Trigonometric Functions

$$\frac{d}{dx} (\sin x) = \cos x $$ $$\frac{d}{dx} (\cos x) = -\sin x $$ $$\frac{d}{dx} (\tan x) = \frac{1}{\cos^2 x} $$

Differentiating Other Functions

$$\frac{d}{dx} (e^x) = e^x $$ $$\frac{d}{dx} ( \ln x) = \frac{1}{x} $$

 

In the following rules, \(u\) and \(v\) are functions of \(x\).

The Product Rule

$$ \text{If} \quad y = uv \quad \text{then}$$ $$\frac{dy}{dx} = v\frac{du}{dx} + u\frac{dv}{dx}$$

The Quotient Rule

$$ \text{If} \quad y = \frac{u}{v} \quad \text{then}$$ $$\frac{dy}{dx} = \frac{v\frac{du}{dx} - u\frac{dv}{dx}}{v^2}$$

The Chain Rule

$$\frac{dy}{dx} = \frac{dy}{du} \times \frac{du}{dx}$$

Answer format

There are many ways you could correctly type in the answers that have a number of terms. The software in this page should recognise most of the commonly-used formats but if you are convinced you have the correct answer but it is being shown as incorrect try typing the answer in a different format. As always, check with your teacher if you are unsure.

Don't wait until you have finished the exercise before you click on the 'Check' button. Click it often as you work through the questions to see if you are answering them correctly. You can double-click the 'Check' button to make it float at the bottom of your screen.

Answers to this exercise are available lower down this page when you are logged in to your Transum account. If you don’t yet have a Transum subscription one can be very quickly set up if you are a teacher, tutor or parent.

Log in Sign up

Close

Close